Pharmaceutical Annual Product Review Template

In the intricate world of pharmaceutical manufacturing, maintaining the highest standards of quality and compliance isn’t just a goal; it’s a fundamental requirement. One of the most critical tools in achieving this is the Annual Product Review, often referred to as APR. This comprehensive assessment of a product’s manufacturing process, quality control data, and market … Read more

Personal End of Year Review Template

As the year draws to a close, it is a natural human inclination to reflect on the journey we have just completed. This period often brings a mix of emotions, from pride in accomplishments to lessons learned from challenges. But how often do we truly dedicate structured time to understanding our year, beyond a fleeting … Read more

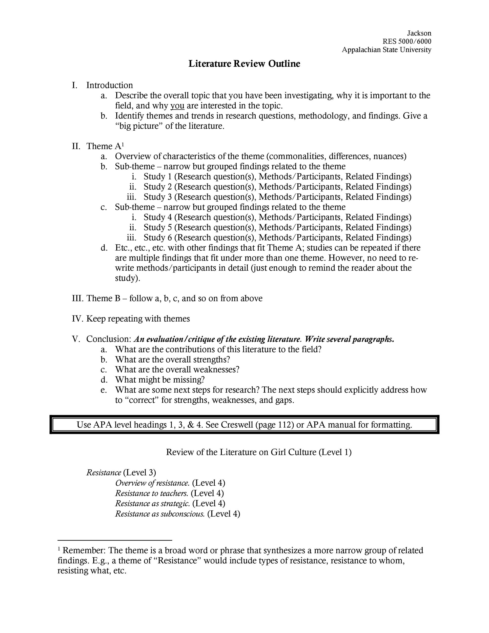
Research Proposal Literature Review Template

Embarking on a research journey often feels like standing at the foot of a vast mountain, with countless paths ahead. One of the most critical steps in mapping out your ascent, especially in a research proposal, is constructing a robust literature review. It’s not just about listing what others have said; it’s about demonstrating your … Read more

Quality of Care Review Template

Ensuring top-notch patient care is a constant endeavor for any healthcare provider, whether it is a sprawling hospital, a cozy nursing home, or an individual home care agency. The commitment to delivering excellent service goes beyond just medical expertise; it encompasses everything from patient safety to communication and overall experience. Evaluating these multifaceted aspects systematically … Read more

Project Management Post Implementation Review Template

Bringing a project to a close often feels like reaching the finish line after a long race. There’s a natural inclination to move straight onto the next big thing, to tackle new challenges and leave the last endeavor behind. However, truly successful organizations understand the immense value in pausing, reflecting, and learning from every journey, … Read more

Professional Response Customer Review Template

In today’s digital landscape, customer reviews are more than just feedback; they are powerful testimonials that can significantly influence your business’s reputation and growth. Every positive comment can attract new customers, while every negative one presents an opportunity to demonstrate your commitment to service recovery. Ignoring reviews is simply not an option, as it sends … Read more

Project Management Post Project Review Template

So, you have successfully wrapped up another project. The deliverables are handed over, the team is breathing a collective sigh of relief, and perhaps you are already looking ahead to the next big challenge. But before you completely close the book on this one, there is a crucial step that many project teams overlook or … Read more

Pre Start Health And Safety Review Template

Before any new piece of equipment whirs to life, a new process kicks off, or even a familiar task begins for the day, there’s a crucial step that can make all the difference between a smooth operation and a preventable incident: the pre-start health and safety review. This isn’t just about ticking boxes; it’s a … Read more

Retail Store Performance Review Template

Running a retail store involves countless moving parts, from managing inventory and merchandising to attracting customers and closing sales. Amidst all this, one critical element often gets overlooked or rushed: consistently evaluating the performance of your team members. A well-executed performance review isn’t just about ticking a box; it’s a powerful tool for growth, motivating … Read more

Response To Negative Review Template

So, a less-than-stellar review popped up. It happens to the best of us. That sinking feeling in your stomach is totally normal, but don’t let it paralyze you. Instead, see it as a golden opportunity. Every negative review, while perhaps frustrating, is a chance to show your current and future customers exactly what kind of … Read more